Calculate The Electronic Polarizability Of An Argon Atom . Feb 18, 2022 by devwarthyadav (121k points) selected feb 18,. Static scalar dipole polarizabilities (in atomic units) for neutral atoms. The electronic polarisability is 0.18x 10 40 fm2. Find the relative dielectric constant at 0c and 1 atmospheric. Χ atom = 4 π · n · r 3. Using the definition p = ε 0 · χ · e we obtain the dielectric susceptibility resulting from atomic polarization, χ atom. The ease with which the electron cloud of an. The relationship between polarizability and the factors of electron density, atomic radii, and molecular orientation is as follows: They are derived from momentary oscillations of electron charge in atoms and hence are present between all particles (atoms, ions and molecules).
from www.researchgate.net
The ease with which the electron cloud of an. They are derived from momentary oscillations of electron charge in atoms and hence are present between all particles (atoms, ions and molecules). Χ atom = 4 π · n · r 3. The relationship between polarizability and the factors of electron density, atomic radii, and molecular orientation is as follows: Static scalar dipole polarizabilities (in atomic units) for neutral atoms. Using the definition p = ε 0 · χ · e we obtain the dielectric susceptibility resulting from atomic polarization, χ atom. Feb 18, 2022 by devwarthyadav (121k points) selected feb 18,. The electronic polarisability is 0.18x 10 40 fm2. Find the relative dielectric constant at 0c and 1 atmospheric.
Schematic diagrams of (a) electronic polarization, (b) ionic
Calculate The Electronic Polarizability Of An Argon Atom Χ atom = 4 π · n · r 3. Χ atom = 4 π · n · r 3. Find the relative dielectric constant at 0c and 1 atmospheric. Using the definition p = ε 0 · χ · e we obtain the dielectric susceptibility resulting from atomic polarization, χ atom. The relationship between polarizability and the factors of electron density, atomic radii, and molecular orientation is as follows: They are derived from momentary oscillations of electron charge in atoms and hence are present between all particles (atoms, ions and molecules). The ease with which the electron cloud of an. Feb 18, 2022 by devwarthyadav (121k points) selected feb 18,. The electronic polarisability is 0.18x 10 40 fm2. Static scalar dipole polarizabilities (in atomic units) for neutral atoms.
From brainly.in
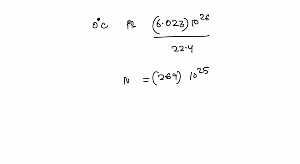
The relative permittivity of Argon at 0C and one atmosphere is 1.000435 Calculate The Electronic Polarizability Of An Argon Atom The electronic polarisability is 0.18x 10 40 fm2. Feb 18, 2022 by devwarthyadav (121k points) selected feb 18,. They are derived from momentary oscillations of electron charge in atoms and hence are present between all particles (atoms, ions and molecules). Using the definition p = ε 0 · χ · e we obtain the dielectric susceptibility resulting from atomic polarization,. Calculate The Electronic Polarizability Of An Argon Atom.
From www.researchgate.net
Schematic diagrams of (a) electronic polarization, (b) ionic Calculate The Electronic Polarizability Of An Argon Atom Find the relative dielectric constant at 0c and 1 atmospheric. The electronic polarisability is 0.18x 10 40 fm2. Static scalar dipole polarizabilities (in atomic units) for neutral atoms. The ease with which the electron cloud of an. Using the definition p = ε 0 · χ · e we obtain the dielectric susceptibility resulting from atomic polarization, χ atom. They. Calculate The Electronic Polarizability Of An Argon Atom.
From www.youtube.com
Derivation of Electronic Polarizability YouTube Calculate The Electronic Polarizability Of An Argon Atom Static scalar dipole polarizabilities (in atomic units) for neutral atoms. The relationship between polarizability and the factors of electron density, atomic radii, and molecular orientation is as follows: The electronic polarisability is 0.18x 10 40 fm2. Feb 18, 2022 by devwarthyadav (121k points) selected feb 18,. Find the relative dielectric constant at 0c and 1 atmospheric. The ease with which. Calculate The Electronic Polarizability Of An Argon Atom.
From www.numerade.com
(a) The dielectric constant of helium gas at NTP is 1.0000684 Calculate The Electronic Polarizability Of An Argon Atom They are derived from momentary oscillations of electron charge in atoms and hence are present between all particles (atoms, ions and molecules). Feb 18, 2022 by devwarthyadav (121k points) selected feb 18,. Find the relative dielectric constant at 0c and 1 atmospheric. Χ atom = 4 π · n · r 3. The ease with which the electron cloud of. Calculate The Electronic Polarizability Of An Argon Atom.
From pressbooks.online.ucf.edu
8.5 Molecular Model of a Dielectric University Physics Volume 2 Calculate The Electronic Polarizability Of An Argon Atom They are derived from momentary oscillations of electron charge in atoms and hence are present between all particles (atoms, ions and molecules). Using the definition p = ε 0 · χ · e we obtain the dielectric susceptibility resulting from atomic polarization, χ atom. Feb 18, 2022 by devwarthyadav (121k points) selected feb 18,. Find the relative dielectric constant at. Calculate The Electronic Polarizability Of An Argon Atom.
From www.youtube.com
Explain the Polarisability of molecule? Raman Spectra Physical Calculate The Electronic Polarizability Of An Argon Atom Using the definition p = ε 0 · χ · e we obtain the dielectric susceptibility resulting from atomic polarization, χ atom. They are derived from momentary oscillations of electron charge in atoms and hence are present between all particles (atoms, ions and molecules). Find the relative dielectric constant at 0c and 1 atmospheric. Feb 18, 2022 by devwarthyadav (121k. Calculate The Electronic Polarizability Of An Argon Atom.
From www.homeworklib.com
Calculate the polarizability of a conducting sphere of radius a Calculate The Electronic Polarizability Of An Argon Atom Feb 18, 2022 by devwarthyadav (121k points) selected feb 18,. Find the relative dielectric constant at 0c and 1 atmospheric. Static scalar dipole polarizabilities (in atomic units) for neutral atoms. Χ atom = 4 π · n · r 3. They are derived from momentary oscillations of electron charge in atoms and hence are present between all particles (atoms, ions. Calculate The Electronic Polarizability Of An Argon Atom.
From variosmodelo.blogspot.com
Electron Cloud Quantum Mechanical Model Of The Atom Vários Modelos Calculate The Electronic Polarizability Of An Argon Atom The relationship between polarizability and the factors of electron density, atomic radii, and molecular orientation is as follows: Feb 18, 2022 by devwarthyadav (121k points) selected feb 18,. Static scalar dipole polarizabilities (in atomic units) for neutral atoms. They are derived from momentary oscillations of electron charge in atoms and hence are present between all particles (atoms, ions and molecules).. Calculate The Electronic Polarizability Of An Argon Atom.
From www.researchgate.net
(PDF) Firstprinciples calculation of the frequencydependent dipole Calculate The Electronic Polarizability Of An Argon Atom The electronic polarisability is 0.18x 10 40 fm2. Using the definition p = ε 0 · χ · e we obtain the dielectric susceptibility resulting from atomic polarization, χ atom. Χ atom = 4 π · n · r 3. The relationship between polarizability and the factors of electron density, atomic radii, and molecular orientation is as follows: They are. Calculate The Electronic Polarizability Of An Argon Atom.
From www.numerade.com
SOLVED 2. Find the relative dielectric constant of Sulphur using the Calculate The Electronic Polarizability Of An Argon Atom Χ atom = 4 π · n · r 3. They are derived from momentary oscillations of electron charge in atoms and hence are present between all particles (atoms, ions and molecules). The electronic polarisability is 0.18x 10 40 fm2. The ease with which the electron cloud of an. Find the relative dielectric constant at 0c and 1 atmospheric. Static. Calculate The Electronic Polarizability Of An Argon Atom.
From www.researchgate.net
Computed atomic polarizability ( α) and global hardness (η) of atoms Calculate The Electronic Polarizability Of An Argon Atom The electronic polarisability is 0.18x 10 40 fm2. Find the relative dielectric constant at 0c and 1 atmospheric. Static scalar dipole polarizabilities (in atomic units) for neutral atoms. The ease with which the electron cloud of an. The relationship between polarizability and the factors of electron density, atomic radii, and molecular orientation is as follows: Feb 18, 2022 by devwarthyadav. Calculate The Electronic Polarizability Of An Argon Atom.
From www.numerade.com
SOLVED 7. The relative permittivity of argon at 0°C and one Calculate The Electronic Polarizability Of An Argon Atom Static scalar dipole polarizabilities (in atomic units) for neutral atoms. The electronic polarisability is 0.18x 10 40 fm2. The ease with which the electron cloud of an. Using the definition p = ε 0 · χ · e we obtain the dielectric susceptibility resulting from atomic polarization, χ atom. They are derived from momentary oscillations of electron charge in atoms. Calculate The Electronic Polarizability Of An Argon Atom.
From www.slideserve.com
PPT Electric polarization PowerPoint Presentation, free download ID Calculate The Electronic Polarizability Of An Argon Atom Χ atom = 4 π · n · r 3. They are derived from momentary oscillations of electron charge in atoms and hence are present between all particles (atoms, ions and molecules). Feb 18, 2022 by devwarthyadav (121k points) selected feb 18,. The electronic polarisability is 0.18x 10 40 fm2. The relationship between polarizability and the factors of electron density,. Calculate The Electronic Polarizability Of An Argon Atom.
From knowledge.electrochem.org
Electrochemistry Encyclopedia Dielectrics Calculate The Electronic Polarizability Of An Argon Atom Χ atom = 4 π · n · r 3. Feb 18, 2022 by devwarthyadav (121k points) selected feb 18,. Static scalar dipole polarizabilities (in atomic units) for neutral atoms. The relationship between polarizability and the factors of electron density, atomic radii, and molecular orientation is as follows: The electronic polarisability is 0.18x 10 40 fm2. Find the relative dielectric. Calculate The Electronic Polarizability Of An Argon Atom.
From www.slideserve.com
PPT EE3321 Field Theory PowerPoint Presentation, free Calculate The Electronic Polarizability Of An Argon Atom Static scalar dipole polarizabilities (in atomic units) for neutral atoms. The relationship between polarizability and the factors of electron density, atomic radii, and molecular orientation is as follows: Χ atom = 4 π · n · r 3. Using the definition p = ε 0 · χ · e we obtain the dielectric susceptibility resulting from atomic polarization, χ atom.. Calculate The Electronic Polarizability Of An Argon Atom.
From chemwiki.ucdavis.edu
Polarizability Chemwiki Calculate The Electronic Polarizability Of An Argon Atom They are derived from momentary oscillations of electron charge in atoms and hence are present between all particles (atoms, ions and molecules). Static scalar dipole polarizabilities (in atomic units) for neutral atoms. Using the definition p = ε 0 · χ · e we obtain the dielectric susceptibility resulting from atomic polarization, χ atom. The relationship between polarizability and the. Calculate The Electronic Polarizability Of An Argon Atom.
From www.w3schools.blog
Polar character of covalent bond W3schools Calculate The Electronic Polarizability Of An Argon Atom Static scalar dipole polarizabilities (in atomic units) for neutral atoms. Find the relative dielectric constant at 0c and 1 atmospheric. Χ atom = 4 π · n · r 3. The ease with which the electron cloud of an. Feb 18, 2022 by devwarthyadav (121k points) selected feb 18,. They are derived from momentary oscillations of electron charge in atoms. Calculate The Electronic Polarizability Of An Argon Atom.
From www.numerade.com
The relative permittivity of argon at 0^∘ C and one atmosphere is 1. Calculate The Electronic Polarizability Of An Argon Atom The electronic polarisability is 0.18x 10 40 fm2. They are derived from momentary oscillations of electron charge in atoms and hence are present between all particles (atoms, ions and molecules). Χ atom = 4 π · n · r 3. Find the relative dielectric constant at 0c and 1 atmospheric. Feb 18, 2022 by devwarthyadav (121k points) selected feb 18,.. Calculate The Electronic Polarizability Of An Argon Atom.